1 条题解
-
0
自动搬运
来自洛谷,原作者为

ARIS2_0
路虽远,行则将至;事虽难,做则必成。搬运于
2025-08-24 23:03:31,当前版本为作者最后更新于2024-09-06 18:00:12,作者可能在搬运后再次修改,您可在原文处查看最新版自动搬运只会搬运当前题目点赞数最高的题解,您可前往洛谷题解查看更多
以下是正文
(下文简称 Drifty 为 d,hgcnxn 为 h,放心,他们都是我同学,不会在意的……应该吧
(逃))
结论:
在图中找具有如下结构的节点 ,我们将这种节点命名为关键点。

严谨地,满足以下条件的为关键点 :
-
的入度不小于
-
与 相连的节点中,至少有 个节点的入度不小于 。
对图跑一遍 BFS,得到 与 ,分别代表 d 到点 的距离与 h 到点 的距离。最后,对于图中的每一个关键点,若有任何一个关键点 满足 ,输出
Drifty,否则输出hgcnxn。
下面给出证明。过程可能会有一点冗长而且不严谨,但相信我,我能把你讲懂,应该比官方题解好一点……吧?
证明:
让我们先理解题意。因为 h 的目标仅仅是捉到 d,并且还没有时间限制,所以 h 的最优方案一定是把整个图全跑一遍。那么,如果 d 能赢,他一定有方法和 h 玩“套圈子”。而本题给定的又是无向无环图,所以,我们要找到一个 d 可以与 h 玩“套圈子”的子图。那么,我们现在来开始寻找这个子图。
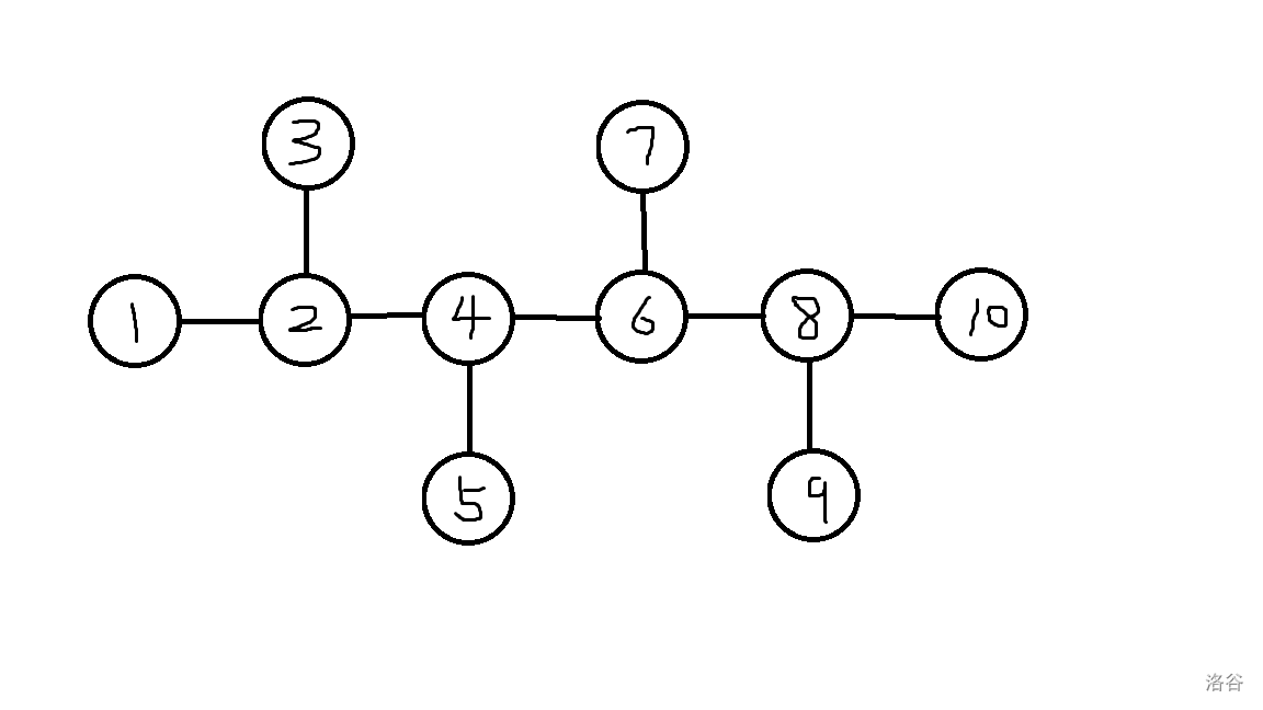
首先,子图显然不可能是一条链,这样 h 肯定能捉到 d;其次,子图如果是以下这种结构,也是不可能的:

对于这样的结构,h 可以先到一号节点,然后按
1->2->3->2->4->5->4->6->7->6->8->9->8->10
的顺序搜,也总能找到 d。那么,回收开头,开始证明:
对于图中的每一个关键点,若有任何一个关键点 满足 ,输出
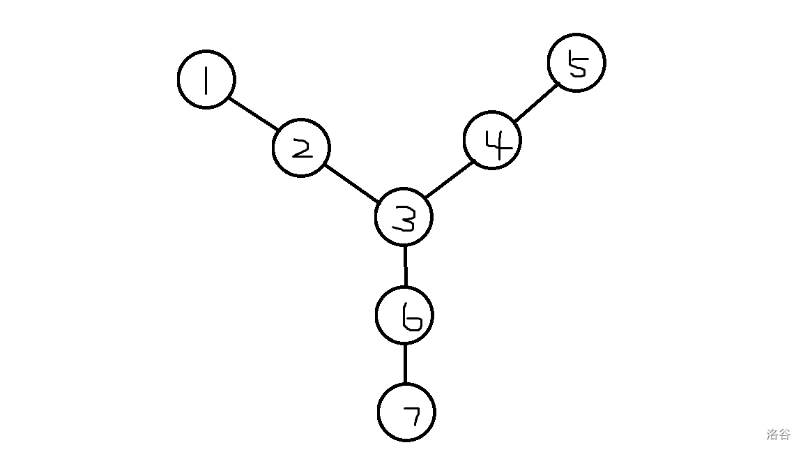
Drifty,否则输出hgcnxn。以这张图为例子说明:

假设 h 在 1 号节点,d 在 3 号节点。此时,对于关键点 3 号节点,,。
显然,h 想要捉到 d,他一定要进入 4 号或 6 号节点,由于两者是等价的,不妨设 h 进入了 4 号节点。此时,h 有三种选择:
-
走进 5 号节点,即选择
1->2->3->4->5的路线。此时,d 可以选择3->6->6->6->3的路线,可以发现,此时 h 在 5 号节点,d 在 3 号节点,两人可以进行无数次这样的行动,即 h 永远也捉不到 d; -
回马枪杀回 3 号节点,然后在 2、3、4、6 号节点之间乱逛。显然,d 只要藏在 1、5、7 号节点之中的任意一个即可。
-
回马枪杀回 3 号节点,然后在 2、3、4、6 号节点之间乱逛一阵之后,回到 1、5、7 号节点之中的任意一个节点,这里假设 h 回到的是 1 号节点。对于这种情况,d 可以选择
3->6->7的路线,然后在 7 号节点躲无数个回合,直到 h 走3->2->1路线的时候,走7->6->3的路线,就又回到了开始的状态!
以上是 的情况。然而,如果不满足这个条件呢?
考虑以下状态:h 在 1 号节点,d 在 6 号节点,此时 ,。当 h 选择
1->2->3->6->7的路线时,可以发现,d 必然会被 h 抓住。综上,得:
对于图中的每一个关键点,若有任何一个关键点 满足 ,输出
Drifty,否则输出hgcnxn。
证明完毕,撒花!
(bushi)下面给出代码:
代码:
#include<bits/stdc++.h>//赛时AC代码,可能有点丑,见谅 using namespace std; const int maxn=2e5+10; vector<int>v[maxn];bool b[maxn];//vector存图 queue<int>q;int dist_carry[maxn],dist_be_carried[maxn]; //dist_carry对应h,dist_be_carried对应d; int n; void bfs(int s,int a[]){//bfs搜距离 memset(b,0,sizeof(b)); memset(a,-1,sizeof(a)); while(!q.empty())q.pop(); b[s]=1;q.push(s);a[s]=0; while(!q.empty()){ int x=q.front();q.pop(); for(int i=0;i<v[x].size();i++){ int y=v[x][i]; if(!b[y]){ b[y]=1;a[y]=a[x]+1;q.push(y); } } } } bool istysan(int x){//判断节点x是否为关键点 if(v[x].size()>2){ int ans=0; for(int i=0;i<v[x].size();i++){ if(v[v[x][i]].size()>1)ans++; } if(ans>2)return 1; }return 0; } bool canrunout(int carry,int be_carried){//判断d能否让h捉不到 for(int i=1;i<=n;i++){ if(istysan(i)){ if(dist_be_carried[i]+1<dist_carry[i])return 1; } }return 0; } int main(){ ios::sync_with_stdio(0); cin.tie(0);cout.tie(0); int t;cin>>t; while(t--){ int carry,be_carried;cin>>n>>carry>>be_carried; for(int i=1;i<=n;i++)v[i].clear(); for(int i=1;i<n;i++){ int p,q;cin>>p>>q;v[p].push_back(q);v[q].push_back(p); }bfs(carry,dist_carry);bfs(be_carried,dist_be_carried); if(canrunout(carry,be_carried))cout<<"Drifty\n"; else cout<<"hgcnxn\n"; } return 0; }
后言: 有什么问题可以在评论区友好讨论
-
- 1
信息
- ID
- 10420
- 时间
- 1000ms
- 内存
- 256MiB
- 难度
- 5
- 标签
- 递交数
- 0
- 已通过
- 0
- 上传者