1 条题解
-
0
自动搬运
来自洛谷,原作者为

Infter
加训加训加训加训加训加训 | 来自深渊的锐利 | intp-a,不是很喜欢整天聊天但欢迎贴贴!搬运于
2025-08-24 22:44:50,当前版本为作者最后更新于2025-01-17 21:34:38,作者可能在搬运后再次修改,您可在原文处查看最新版自动搬运只会搬运当前题目点赞数最高的题解,您可前往洛谷题解查看更多
以下是正文
很好的题。
先不考虑区间,先想 的情况。
考虑 dp, 表示考虑 的答案。
则容易得到:
$$f_i=\max\left\{f_{i-1}, f_{i-k}+s_i-s_{i-k}\right\},f_0=0 $$其中 为 的前缀和。
这个转移本身是 的。
遇见这种区间查询 DP 的通常都是动态 DP,但是由于下标跨了 ,矩阵的大小为 ,所以进行如此操作的时间复杂度为 ,表现很差。
本题难点在此。
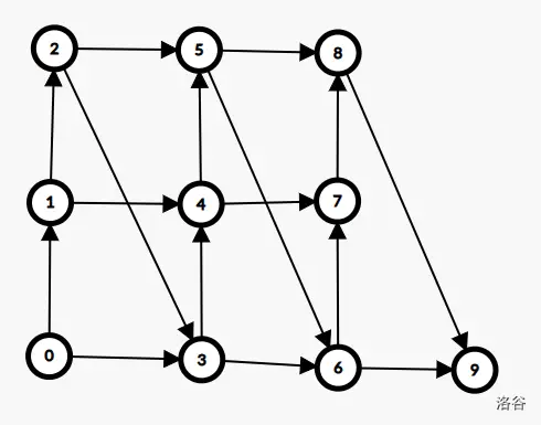
我们看到这个 DP 式子非常工整,灵光一现,唉我给她塞图上。
我们从 向 连长度为 的边表示 的转移方程式里有一项为 。
突破口出现了!
原题所求的 的答案就是 到 的最长路!(注意此处由于 也要参与运算,所以起点为 )
但是新的问题到来了,怎么给这样一个图求两点最短路呢?
显然不能 Johnson,这样比暴力还慢。
显然是要利用这个图的结构。
我们经过一顿梳理发现她长这样。

规规整整的跟个矩形一样。
知道网格求最短路的同学瞬间就懂了。
接下来是个很经典的 trick。
对于一类网格图,我们若要求若干点对间的最短或长路则采用以下算法:
我们考虑把询问离线下来分治。
每次分治面向原网格中的一个子网格。
为了方便我们设她是 的。
若 ,我们按照中间行把她切成两半,对于中间行上每个点 算出其对子矩阵里所有点的最短或长路。(若是 DAG 则可直接 DP),然后枚举所有被这个中间行分开的点对 ,将 到 的最短或长路经过 松弛。(因为 到 的最短或长路一定经过 )
不然则按照中间列切,同样枚举中间列上的点来计算。
每次把切完的两个小网格分治下去,要把两端点都在。
每次分治 。
由主定理,总复杂度 。
回到这道题。
我们发现还有一些从最顶上指到底下的边,他们可以通过这条边而不需通过中间行。
对于这种情况我们可以额外枚举第一行的每个点,因为经过斜边一定要经过第一行的点。
但是有可能在同一侧的节点的最长路穿下去再慢慢爬上来的情况。
这种情况我们也要给在同一侧的点对统计答案,但是由于只有一次不影响复杂度。
#include <bits/stdc++.h> using namespace std; #define int long long #define endl '\n' #define debug(x) cerr << #x << " = " << x << endl #define rep(i, a, b) for (int i = (a); i <= (b); i++) #define per(i, a, b) for (int i = (a); i >= (b); i--) #define gn(u, v) for (int v : G.G[u]) #define pb emplace_back #define mp make_pair #define fi first #define se second #define sz(x) (int)(x).size() #define pii pair<int, int> #define vi vector<int> #define vpii vector<pii> #define vvi vector<vi> #define no cout << "NO" << endl #define yes cout << "YES" << endl #define all(x) x.begin(), x.end() #define rall(x) x.rbegin(), x.rend() #define tomin(x, y) ((x) = min((x), (y))) #define tomax(x, y) ((x) = max((x), (y))) #define ck(mask, i) (((mask) >> (i)) & 1) #define pq priority_queue #define FLG (cerr << "Alive!" << endl); constexpr int MAXN = 6e5 + 5; constexpr int INF = 0x3f3f3f3f3f3f3f3f; int n, k, q; int a[MAXN]; vector<vpii> G; vector<vpii> H; struct Query { int u, v, ans; }; vector<Query> query; vi num[MAXN]; int x[MAXN], y[MAXN]; int dis[2][MAXN]; void get(int start, const vector<vpii>& G, const vector<vpii>& H, int lx, int rx, int ly, int ry, bool typ) { queue<int> q; q.push(start); dis[typ][start] = -1; vi vis; vis.pb(start); while (!q.empty()) { int u = q.front(); q.pop(); for (auto [v, w] : G[u]) { // cerr << "!" << v << endl; if (x[v] < lx || x[v] > rx || y[v] < ly || y[v] > ry) continue; if (dis[typ][v] != -1) { dis[typ][v] = -1; q.push(v); vis.pb(v); } } } rep (i, lx, rx) { rep (j, ly, ry) { dis[typ][num[i][j]] = -INF; } } if (typ) sort(all(vis), greater<>()); else sort(all(vis)); dis[typ][start] = 0; for (int u : vis) { if (u == start) continue; dis[typ][u] = -INF; for (auto [v, w] : H[u]) { if (x[v] < lx || x[v] > rx || y[v] < ly || y[v] > ry) continue; // cerr << v << " " << w << endl; tomax(dis[typ][u], dis[typ][v] + w); } // cerr << "dis from " << start << " to " << u << " with type " << typ << " is " << dis[typ][u] << endl; } } void solve(int lx, int rx, int ly, int ry, vector<Query>& q) { if (lx > rx || ly > ry || q.empty()) return; rep (i, lx, rx) { rep (j, ly, ry) { dis[false][num[i][j]] = dis[true][num[i][j]] = 0; } } if (rx - lx <= ry - ly) { int mid = ly + ry >> 1; vector<Query> l, r, now; for (auto [u, v, ans] : q) { if (y[u] < mid && y[v] < mid) { l.pb(Query{u, v, ans}); } else if (y[u] > mid && y[v] > mid) { r.pb(Query{u, v, ans}); } else { now.pb(Query{u, v, ans}); } } rep (tmp, lx, rx) { int cur = num[tmp][mid]; get(cur, G, H, lx, rx, ly, ry, false); get(cur, H, G, lx, rx, ly, ry, true); for (auto& [u, v, ans] : now) { // if (u == 170 && v == 200) { // cerr << lx << " " << rx << " " << ly << " " << ry << endl; // cerr << dis[0][u] + dis[1][v] << " " << dis[1][u] + dis[0][v] << endl; // } tomax(ans, max(dis[0][u] + dis[1][v], dis[1][u] + dis[0][v])); // cerr << dis[0][u] << " " << dis[1][u] << " " << dis[0][v] << " " << dis[1][v] << endl; } for (auto& [u, v, ans] : l) { // if (u == 170 && v == 200) { // cerr << lx << " " << rx << " " << ly << " " << ry << endl; // cerr << dis[0][u] + dis[1][v] << " " << dis[1][u] + dis[0][v] << endl; // } tomax(ans, max(dis[0][u] + dis[1][v], dis[1][u] + dis[0][v])); // cerr << dis[0][u] << " " << dis[1][u] << " " << dis[0][v] << " " << dis[1][v] << endl; } for (auto& [u, v, ans] : r) { // if (u == 170 && v == 200) { // cerr << lx << " " << rx << " " << ly << " " << ry << endl; // cerr << dis[0][u] + dis[1][v] << " " << dis[1][u] + dis[0][v] << endl; // } tomax(ans, max(dis[0][u] + dis[1][v], dis[1][u] + dis[0][v])); // cerr << dis[0][u] << " " << dis[1][u] << " " << dis[0][v] << " " << dis[1][v] << endl; } } solve(lx, rx, ly, mid - 1, l); solve(lx, rx, mid + 1, ry, r); int i = 0, j = 0, cnt = 0; for (auto& [u, v, ans] : q) { if (y[u] < mid && y[v] < mid) { ans = l[i++].ans; } else if (y[u] > mid && y[v] > mid) { ans = r[j++].ans; } else { ans = now[cnt++].ans; } } } else { int mid = lx + rx >> 1; vector<Query> l, r, now; for (auto [u, v, ans] : q) { if (x[u] < mid && x[v] < mid) { l.pb(Query{u, v, ans}); } else if (x[u] > mid && x[v] > mid) { r.pb(Query{u, v, ans}); } else { now.pb(Query{u, v, ans}); } } rep (tmp, ly, ry) { int cur = num[mid][tmp]; get(cur, G, H, lx, rx, ly, ry, false); get(cur, H, G, lx, rx, ly, ry, true); for (auto& [u, v, ans] : now) { tomax(ans, max(dis[0][u] + dis[1][v], dis[1][u] + dis[0][v])); } for (auto& [u, v, ans] : l) { tomax(ans, max(dis[0][u] + dis[1][v], dis[1][u] + dis[0][v])); } for (auto& [u, v, ans] : r) { tomax(ans, max(dis[0][u] + dis[1][v], dis[1][u] + dis[0][v])); } } // if (lx == 1 && rx == k) { rep (tmp, ly, ry) { int cur = num[lx][tmp]; get(cur, G, H, lx, rx, ly, ry, false); get(cur, H, G, lx, rx, ly, ry, true); for (auto& [u, v, ans] : now) { tomax(ans, max(dis[0][u] + dis[1][v], dis[1][u] + dis[0][v])); } for (auto& [u, v, ans] : l) { tomax(ans, max(dis[0][u] + dis[1][v], dis[1][u] + dis[0][v])); } for (auto& [u, v, ans] : r) { tomax(ans, max(dis[0][u] + dis[1][v], dis[1][u] + dis[0][v])); } } // } solve(lx, mid - 1, ly, ry, l); solve(mid + 1, rx, ly, ry, r); int i = 0, j = 0, cnt = 0; for (auto& [u, v, ans] : q) { if (x[u] < mid && x[v] < mid) { ans = l[i++].ans; } else if (x[u] > mid && x[v] > mid) { ans = r[j++].ans; } else { ans = now[cnt++].ans; } } } } signed main() { ios::sync_with_stdio(false); cin.tie(0); cout.tie(0); cin >> n >> k >> q; int tmp = (n / k + 1) * k - 1; rep (i, 1, n) cin >> a[i]; rep (i, 1, tmp) a[i] += a[i - 1]; G.resize(tmp + 1); H.resize(tmp + 1); rep (i, 1, tmp) { G[i - 1].pb(mp(i, 0)); H[i].pb(mp(i - 1, 0)); if (i >= k) G[i - k].pb(mp(i, a[i] - a[i - k])), H[i].pb(mp(i - k, a[i] - a[i - k])); } query.resize(q); rep (i, 0, q - 1) { cin >> query[i].u >> query[i].v; query[i].u--; query[i].ans = 0; } rep (i, 1, k) { num[i].resize(n / k + 2); } rep (i, 0, (n / k + 1) * k - 1) { num[i % k + 1][i / k + 1] = i; x[i] = i % k + 1; y[i] = i / k + 1; } // rep (i, 0, n) { // for (auto [v, w] : G[i]) { // cerr << i << " " << v << " " << w << endl; // } // } solve(1, k, 1, n / k + 1, query); // cerr << x[170] << " " << y[170] << " " << x[200] << " " << y[200] << endl; rep (i, 0, q - 1) cout << query[i].ans << endl; return 0; }
- 1
信息
- ID
- 8050
- 时间
- 10000ms
- 内存
- 1024MiB
- 难度
- 7
- 标签
- 递交数
- 0
- 已通过
- 0
- 上传者