1 条题解
-
0
自动搬运
来自洛谷,原作者为

xtx1092515503
Mathematics compares the most diverse phenomena, and discovers the secret analogies which unite them. @Joseph Fourier搬运于
2025-08-24 22:19:14,当前版本为作者最后更新于2020-05-21 17:17:17,作者可能在搬运后再次修改,您可在原文处查看最新版自动搬运只会搬运当前题目点赞数最高的题解,您可前往洛谷题解查看更多
以下是正文
(本题解部分借鉴于这里,但是自己加入了部分感性的理解)
神题。
考虑我们现在树上有头牛。它们无论散布在树的什么地方,我们总可以移动某些牛,使得这头牛位于树上的号点。这是非常显然的。
我们考虑一下,假设位置上的牛是可以在不改动其它位置上的牛的前提下完成交换的,我们把它称作“交换关系”(注意这一名词是针对位置的,不针对位置上到底是哪头牛)。则如果位置与位置都具有“交换关系”,那么,位置也将具有交换关系,因为我们可以先交换位置,再交换,再交换达到交换。换句话说,“交换关系”这种性质,具有可传递性。
则我们如果把“交换关系”看作边的话,它们将会构成许多团(完全图)。设这些团的大小为,则有头牛时的答案即为。
现在我们考虑一下,什么情况下两个位置会具有“交换关系”。
我们不妨想一想,假如你正常地想调换两个位置,你会怎么做?
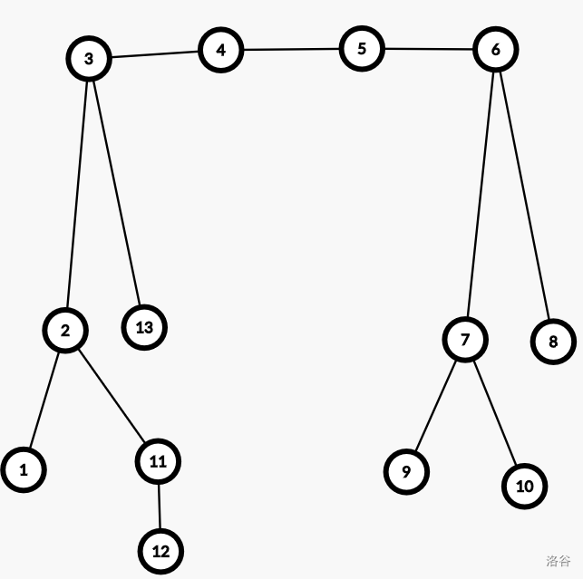
我们画出图来:

假设我们要交换位置和的牛,应该怎么办?
先把一头牛移到等待,然后再移动另一头牛。
这启发我们在移动牛时需要在分叉的路径上等待。
也就是说,在一条直线上的牛是不可能交换的。只有有“分叉”的地方才能完成交换。
什么样的地方不存在“分叉”呢?
对,一条路径。
我们定义一条“链”为一条路径,使得路径两端的点的度数都不等于,而链上其它点的度数都等于。
典型的例子:

是一条链,链的两端是子树与子树。(实际上,如,都是链)。
我们来看一下更抽象的草图:

我们设左边子树有个点,右边子树有个点,链上有个点(注意链两段的点既属于链,又属于子树)。
则如果的话,左右子树的点就可以任意交换。
我们感性理解一下:
首先,将所有个点全都移到子树或子树中。则此时链上没有任何点(包括链两段),并且两颗子树中至少有一个空隙。
则这一个空隙,就可以成为我们之前提到的“等待”处,进行交换。
而只要能完成一次“交换”,则所有位置都可以交换。
(感性理解一下吧……严谨的证明我自己都看不懂……)
因为,因此只要,两边子树就是可交换的。
我们考虑删去所有满足上述要求的链上的边。如果从大到小地枚举的话,则删边就会变成加边,就可以使用并查集维护联通块。
考虑对于一坨联通块,有多少个外部节点可以通到它。设为一条链,使得链的一端在块内,一端在块外。再设为该链通到的另一端的子树大小。
则能通到该联通块的节点数量为
(感性理解:外层用减去的那一大坨,是通不到的点的数量;而内层用减去的,则是对于当前链来说,能通到联通块内的数量。很明显这样做可能会重复计算,但估计容斥容斥就出来了?)
我们对于每个联通块,维护它内部的边数量与它周围被切断的边数。
则按照实际意义化简,我们得到了
理解:
是外部的点数量(注意是边数)。我们一开始假设这所有外部的点全部通不到)
是被切断的边数,就是上述的的数量。乘上是子树中原本的个点数量,再加上需要空出来的那个“等待区”的大小。这是中多减去的那些点。
再套上我们一开始得出的那个公式,则我们得出的那个的式子就是分母中的。通过预处理阶乘和阶乘的逆元,我们可以直接应用公式。
最后是统计答案。直接枚举每个联通块即可,不必担心复杂度,因为所有时刻的联通块数量是的(联通块数量与 是同级别的)。
复杂度分析:瓶颈在于添加上符合要求的链时,为了方便在递减时直接处理要排序。如果用桶排,复杂度就是的。这里为了图方便,使用的是的常规排序。然后是并查集,复杂度是的。这里为了方便,没有按秩合并,因此仍然是的。另一个瓶颈就是维护仍然存在的联通块标号,只能采取平衡树等在内通过。但是我不小心敲的是
vector,理论复杂度是的,会被菊花图卡掉,但是没有被卡,大家敲的时候用普通set即可。#include<bits/stdc++.h> using namespace std; const int mod=1e9+7; int ksm(int x,int y){ int z=1; for(;y;x=1ll*x*x%mod,y>>=1)if(y&1)z=1ll*z*x%mod; return z; } int n,fac[100100],inv[100100],res[100100]; vector<int>g[100100],key; struct dsu{ int fa,ins,out; }a[100100]; void init(){ for(int i=1;i<=n;i++)if(g[i].size()!=2)a[i].fa=i,a[i].out=g[i].size(),key.push_back(i); fac[0]=1; for(int i=1;i<=n;i++)fac[i]=1ll*fac[i-1]*i%mod; inv[n]=ksm(fac[n],mod-2); for(int i=n-1;i>=0;i--)inv[i]=1ll*inv[i+1]*(i+1)%mod; } int find(int x){ return a[x].fa==x?x:a[x].fa=find(a[x].fa); } void merge(int x,int y,int z){ x=find(x),y=find(y); if(x==y)return; key.erase(lower_bound(key.begin(),key.end(),y)); a[x].ins+=a[y].ins+z-1,a[x].out+=a[y].out-2,a[y].fa=x; } struct path{ int x,y,z; path(int u,int v,int w){x=u,y=v,z=w;} friend bool operator <(const path &x,const path &y){ return x.z<y.z; } }; vector<path>paths; void getpath(int x,int fa,int len,int from){ if(g[x].size()!=2){ if(from)paths.push_back(path(from,x,len)); len=1,from=x; } for(auto y:g[x])if(y!=fa)getpath(y,x,len+1,from); } int main(){ scanf("%d",&n); for(int i=1,x,y;i<n;i++)scanf("%d%d",&x,&y),g[x].push_back(y),g[y].push_back(x); init(); getpath(key.front(),0,0,0); sort(paths.begin(),paths.end()); for(int i=n-1,j=0;i;i--){ while(j<paths.size()&&i<n-paths[j].z)merge(paths[j].x,paths[j].y,paths[j].z),j++; res[i]=fac[i]; for(auto x:key)res[i]=1ll*res[i]*inv[i-(n-a[x].ins-1)+a[x].out*(n-i-1)]%mod; } res[n]=fac[n]; for(int i=1;i<=n;i++)printf("%d\n",res[i]); return 0; }
代码:
- 1
信息
- ID
- 5327
- 时间
- 2000ms
- 内存
- 250MiB
- 难度
- 7
- 标签
- 递交数
- 0
- 已通过
- 0
- 上传者