1 条题解
-
0
自动搬运
来自洛谷,原作者为

longlongzhu123
**搬运于
2025-08-24 21:41:48,当前版本为作者最后更新于2018-12-23 11:34:21,作者可能在搬运后再次修改,您可在原文处查看最新版自动搬运只会搬运当前题目点赞数最高的题解,您可前往洛谷题解查看更多
以下是正文
解法:网络流 - 最大权闭合子图 拓扑排序
感觉大家的题解都没有讲得很清楚呢。
鉴于大家可能会以这道题作为 最大权闭合子图 的入门题,我就在这里给大家讲一些有关的概念,帮助大家快速入门吧!
- 如果你早就知道最大权闭合子图是什么,请直接翻到题目分析 QwQ
- 如果你是很强很强的大佬,请直接翻到下一篇题解 QwQ
最大权闭合子图::概念
什么是 闭合子图 ?
- 它是一种子图 (逃
- 它还是有向图的子图。。
- 它还可以一路走到底,不撞南墙不回头。。。
具体来说,就是:对于每个点,从它出发,能够走到的所有点都属于闭合子图中
举个栗子,对于下面这张图, 、 都是它的闭合子图。但是 却不是,因为从 a 可以走到 c , c 却不在 中。

$\text{形式化地(如果你想看的话),若} G'(V', E') \text{是} G(V, E) \text{的一个闭合子图,那么:}$
- $\forall (u, v) \in E, \text{都有} u \in V' \text{ 且 } v \in V'$
最大权闭合子图就是原图中点权和最大的闭合子图。
这个模型有什么用呢?待我慢慢道来。
最大权闭合子图::实现
最大权闭合子图问题可以使用最小割解决OVO!。
连边方式
- 对于所有原图中的边 ,连边 ,容量为 。
- 对于每个原图中的点 ,设 的权值为 :
- 若 (正权点),连边 ,容量为 。
- 若 (负权点),连边 ,容量为 。
至于 (零权点)的情况,向 还是 连边对答案并没有影响(见下解释),所以可以不做特判。
如图所示,右边是原图,网络流连边如左图所示。

直接在图上跑最小割即可,最大权 = 正点权和 - 最小割 ,而最大权闭合子图的节点就是与 联通的部分。
为什么这样建模是正确的呢?让我们分析一下:
首先,所有不连向 或 的边容量都是 ,不可能被割掉。
这样,能被割掉的边只有连向 或 的边(这样的割被称为 简单割 )。
设与 联通的节点集为 ,与 联通的节点集为 ,那么最大权闭合子图的节点就是 集。
一开始假设所有正权点都在(最大权)闭合子图中,
对于某一个正权点 ,如果割掉它与 的连边,意味着将它分到 集合中,不选它作为闭合子图的节点,故闭合子图权值应减去 。
对于某一个负权点 ,如果割掉它与 的连边,意味着将它分到 集合中,那么闭合子图权值应加上 ,即减去 。
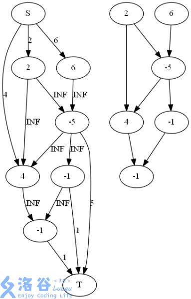
如下图所示,假设这是网络图中的一条路径:

这个图有两种割法,其中割掉蓝色的边花费最小,需要付出 1 的费用。
故这个图中闭合子图的最大权值是 。

这题跟 最大权闭合子图 有什么关系呢?想必大家已经能够发现一些规律了!
题目分析
规律:
我们看一下题目描述:
对于第r行的进攻,Zombies必须首先攻击Pr, M-1;若需要对Pr, c(0≤c<M-1)攻击,必须将Pr,M-1, Pr, M-2 … Pr, c+1先击溃,并移动到位置(r, c)才可进行攻击。即便Zombie进入了一个Plant所在的位置,但该位置属于其他植物的攻击位置集合,则Zombie会被瞬间消灭而所在位置的植物则安然无恙题目描述暗示着: 如果你要攻击植物 ,那么你就必须把 的右边一棵植物、以及保护着它的所有植物都一起攻击掉 。
这与最大权闭合子图中 对于每个点,从它出发,能够走到的所有点都属于闭合子图中 刚好契合。
我们可以这样建图:
- 植物 的点权设为
- 所有植物 向它的右边连边
- 如果一个植物 保护着 , 向 连边
在这个图上求出最大权闭合子图,答案就是最大收益,也就是问题的答案。
一个问题
等等,如果你直接写出代码,你会发现你只能拿到可怜的分数(甚至连样例都过不了)
我们漏了一种情况,如果两棵植物互相保护(环),那么僵尸无论如何都无法攻击到它们。

(上面这个图展示的是节点之间的保护关系,事实上在网络图中,边刚好相反)
同理,被环所保护的节点也无法被攻击到。
所有出现在环中以及被环保护的节点都应该被去除。我们可以先建一个反向图(这里是指相对于网络图的反向图),并进行拓扑排序,能够被拓扑排序遍历到的节点才能用来建图。
讲到这里,问题终于解决了!
代码
激动人心的代码时刻!(假的,写得超丑 2333 )
#include<bits/stdc++.h> using namespace std; #define POINT(X, Y) ((X) * 31 + (Y)) const int MAXN = POINT(30, 30) + 10; const int INF = 2000000000; const int MAXM = MAXN * MAXN + 10; struct Graph { struct Node { int to, cap; int next; } node[MAXM * 2]; int top, head[MAXN]; Graph() { top = 1; } void add(int u, int v, int cap) { top ++; node[top].to = v; node[top].cap = cap; node[top].next = head[u]; head[u] = top; top ++; node[top].to = u; node[top].cap = 0; node[top].next = head[v]; head[v] = top; } queue<int> Q; int dis[MAXN]; int s, t; bool bfs() { memset(dis, -1, sizeof(dis)); dis[s] = 0; Q.push(s); while(!Q.empty()) { int u = Q.front(); Q.pop(); for(int i = head[u]; i; i = node[i].next) { int v = node[i].to; if(dis[v] == -1 && node[i].cap) { dis[v] = dis[u] + 1; Q.push(v); } } } return dis[t] != -1; } int dfs(int u, int flow) { if(u == t) return flow; else { int ret = flow; for(int i = head[u]; i && ret; i = node[i].next) { int v = node[i].to; if(dis[v] == dis[u] + 1 && node[i].cap) { int k = dfs(v, min(ret, node[i].cap)); node[i].cap -= k; node[i ^ 1].cap += k; ret -= k; } } if(ret == flow) dis[u] = -1; return flow - ret; } } int dinic() { int ans = 0; while(bfs()) ans += dfs(s, INF); return ans; } } G; int n, m; int score[MAXN]; vector<int> out[MAXN]; int in[MAXN]; bool vis[MAXN]; queue<int> Q; void toposort() { for(int i = 1; i <= n; i ++) { for(int j = 1; j <= m; j ++) { if(!in[POINT(i, j)]) { Q.push(POINT(i, j)); vis[POINT(i, j)] = true; } } } while(!Q.empty()) { int u = Q.front(); Q.pop(); for(int i = 0; i < out[u].size(); i ++) { int v = out[u][i]; in[v] --; if(!vis[v] && !in[v]) { Q.push(v); vis[v] = true; } } } } int main() { cin>>n>>m; for(int i = 1; i <= n; i ++) { for(int j = 1; j <= m; j ++) { int cnt; // 保护植物的棵数 cin>>score[POINT(i, j)]>>cnt; for(int k = 1; k <= cnt; k ++) { int x, y; cin>>x>>y; // POINT(i, j) <- POINT(x, y) x ++; y ++; out[POINT(i, j)].push_back(POINT(x, y)); in[POINT(x, y)] ++; } if(j < m) { out[POINT(i, j + 1)].push_back(POINT(i, j)); in[POINT(i, j)] ++; } } } toposort(); G.s = MAXN - 1; G.t = MAXN - 2; int sum = 0; for(int i = 1; i <= n; i ++) { for(int j = 1; j <= m; j ++) { int u = POINT(i, j); if(!vis[u]) continue; if(score[u] >= 0) { G.add(G.s, u, score[u]); sum += score[u]; // printf("S -> [%d, %d] : %d\n", i, j, score[u]); } else { G.add(u, G.t, -score[u]); // printf("[%d, %d] -> T : %d\n", i, j, -score[u]); } for(int k = 0; k < out[u].size(); k ++) { int v = out[u][k]; if(vis[v]) { G.add(v, u, INF); // printf("[%d, %d] -> [%d, %d] : INF\n", v / 31, v % 31, i, j); } } } } cout<<sum - G.dinic()<<endl; return 0; }内容会陆续搬运到博客里......
- 1
信息
- ID
- 1876
- 时间
- 1000ms
- 内存
- 125MiB
- 难度
- 6
- 标签
- 递交数
- 0
- 已通过
- 0
- 上传者