1 条题解
-
0
自动搬运
来自洛谷,原作者为

LlLlCc
背井离乡,忍辱负重搬运于
2025-08-24 21:31:05,当前版本为作者最后更新于2020-05-26 20:24:00,作者可能在搬运后再次修改,您可在原文处查看最新版自动搬运只会搬运当前题目点赞数最高的题解,您可前往洛谷题解查看更多
以下是正文
不得不说,这题建模极为抽象了,出题人太神了。看了好多篇题解才懂,自己也写一篇比较详细的吧
相信大家都玩过跳棋,有一个规则想必大家都知道,就是一次跳跃不能跳过两颗棋子
这个限制是解决这题的关键,有了这个限制,可以看出,对于两边的棋子,只能跳到其余两颗的中间,同样的中间的棋子也只能跳到两边
为了方便,我们将三个棋子标号,分别为,且。
移动棋子无非就四种讨论
因为有了不能一次跳过两颗棋的限制,所以第三种情况和第四种情况必然起了冲突
不妨设,易得
-
则
-
则
也就是说我们对于每种状态只有三种转移方式
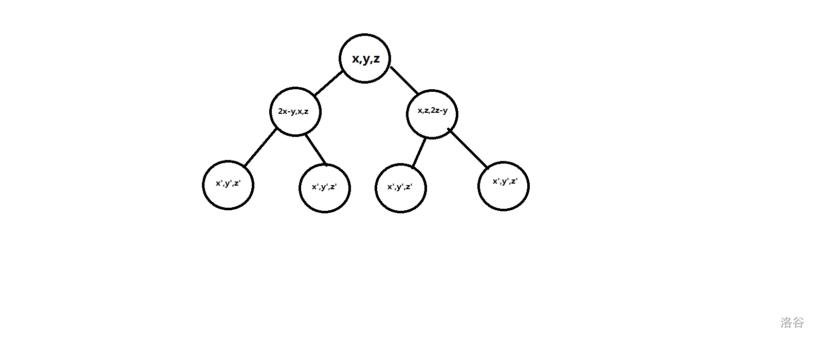
我们再看看这三个式子,可以发现,对于第一种和第二种情况,我们将中间的点向两边跳,相当于扩大了边界。而第三种两边向里面跳则恰恰相反,是将边界缩小了
是不是很像一棵二叉树?
现在可能还不够明显,我们再接下去推
有一个很显然的性质,边界不可能无限变小。也就是说缩着缩着会遇到一种情况不能再缩了,我们来思考一下什么情况不能再缩了
观察式子:
-
则
-
则
惊奇的发现,我们这样讨论漏了一种情况,
这个非常好理解,如果,那么必然会与跳到同一个点,而这是不符合题目描述的。所以当时,这个状态只能由中间向两边跳,也就是只有两个转移状态,想想这个状态在二叉树中像什么?没错,根节点我们就这样找到了,二叉树的形态就像下图所示:

可以发现,对于每一组都有唯一对应的一个根,而且二叉树之间的任意一组都可以互相转化,而且转化的操作次数就等于两个状态在树上的距离
所以如果初始的树根和目标的树根不相同,那么就是,因为无论怎么跳都出不去这棵树的范围,而根不同则说明树不同
所以对于初始和目标,我们只要求出它们的,答案就是初始点到的距离 到目标点的距离
不过因为范围太大,树无法存下,普通的求法树剖、倍增等已经无法使用了
我们先不急着求,来想想另一个问题
初始状态:
目标状态:
人脑模拟一下程序,,转换成,,转换成,,转换成,
如果改成呢?
显然要飞
不过我们发现,一直在重复一个操作,所以可以将这些操作压缩
我们只讨论的情况,其实差不多
易发现,要连续跳次同样的操作(每一次跳的距离,但又不能超越或跳到,也就是总距离为,总次数故为)
设:
所以最后是
这样我们就大大的压缩了路径,但这样又有什么用呢?我们回到树上来
因为路径被压缩了,所以我们可以换种方法求
方便起见,我们先将初始状态跳到和目标状态在树中的高度一致(如果目标状态高度更高我们就换一下,在树中的距离是没有方向的)
也是初始状态要向上跳次(表示深度,和分别表示起始状态和目标状态),而跳跃的操作我们就可以用压缩路径快速实现
好了,现在两个状态高度相同了
有个显然的性质,如果两个状态同时向上跳次所跳到的节点相同,那么同时向上跳次所跳到的节点也相同,也就是说明满足单调性。所以我们可以用二分来枚举最小的满足了两个状态同时向上跳次所跳到的节点相同,所以就是两个同时向上跳次所跳到的节点
然后就愉快的了
码量小但细节是真的多,思维难度也很好,总而言之就是一道质量非常高的建模+二分的题目
如果有哪步我打错了,或者有一些没有理解的地方,欢迎私信或留言!
参考代码:
#include<bits/stdc++.h> using namespace std; int Cnt,Ans,d1,d2,d3,x,y,z,L,R,X,Y,Z,tot,a[5]; struct lc{ int x,y,z,tot; }A,B; inline int read(){ int ret=0,f=1;char ch=getchar(); while (ch<'0'||ch>'9'){if (ch=='-') f=-f;ch=getchar();} while (ch<='9'&&ch>='0') ret=ret*10+ch-'0',ch=getchar(); return ret*f; } inline void Dfs(int x,int y,int z){ tot=0; while (1){ d1=y-x,d2=z-y; if (d1==d2) break; if (d1>d2) d3=(d1-1)/d2,tot+=d3,y-=d3*d2,z-=d3*d2; else d3=(d2-1)/d1,tot+=d3,x+=d3*d1,y+=d3*d1; } if (A.x||A.y) B=(lc){x,y,z,tot}; else A=(lc){x,y,z,tot}; } inline void Swap(){ swap(x,X),swap(y,Y),swap(z,Z); swap(A.x,B.x),swap(A.y,B.y),swap(A.z,B.z),swap(A.tot,B.tot); } inline bool check(int T,int x,int y,int z,int X,int Y,int Z){ tot=T; while (tot){ d1=y-x,d2=z-y; if (d1==d2) break; if (d1>d2) d3=min((d1-1)/d2,tot),tot-=d3,y-=d3*d2,z-=d3*d2; else d3=min((d2-1)/d1,tot),tot-=d3,x+=d3*d1,y+=d3*d1; } tot=T; while (tot){ d1=Y-X,d2=Z-Y; if (d1==d2) break; if (d1>d2) d3=min((d1-1)/d2,tot),tot-=d3,Y-=d3*d2,Z-=d3*d2; else d3=min((d2-1)/d1,tot),tot-=d3,X+=d3*d1,Y+=d3*d1; } return X==x&&Y==y&&Z==z; } int main(){ for (int i=1;i<=3;i++) a[i]=read(); sort(a+1,a+4);x=a[1],y=a[2],z=a[3]; for (int i=1;i<=3;i++) a[i]=read(); sort(a+1,a+4);X=a[1],Y=a[2],Z=a[3]; Dfs(x,y,z);Dfs(X,Y,Z); if (A.x!=B.x||A.y!=B.y||A.z!=B.z){printf("NO");return 0;} if (A.tot<B.tot) Swap(); Ans=tot=A.tot-B.tot; while (tot){ d1=y-x,d2=z-y; if (d1==d2) break; if (d1>d2) d3=min((d1-1)/d2,tot),tot-=d3,y-=d3*d2,z-=d3*d2; else d3=min((d2-1)/d1,tot),tot-=d3,x+=d3*d1,y+=d3*d1; } L=0,R=B.tot; while (L<=R){ int mid=L+R>>1; if (check(mid,x,y,z,X,Y,Z)) Cnt=mid,R=mid-1; else L=mid+1; } printf("YES\n%d",Ans+Cnt*2); return 0; } -
- 1
信息
- ID
- 822
- 时间
- 1000ms
- 内存
- 125MiB
- 难度
- 6
- 标签
- 递交数
- 0
- 已通过
- 0
- 上传者