1 条题解
-
0
自动搬运
来自洛谷,原作者为

normalpcer
代词使用他/她/它 || 被 define int long long 吓晕搬运于
2025-08-24 23:05:15,当前版本为作者最后更新于2024-10-21 17:44:18,作者可能在搬运后再次修改,您可在原文处查看最新版自动搬运只会搬运当前题目点赞数最高的题解,您可前往洛谷题解查看更多
以下是正文
题意简述
给定一棵树,希望给其上的所有点编号,使得所有边的两端端点编号之和均不超过 。
分析
可以使用如下的贪心策略进行编号:
- 按照从深到浅的顺序排序所有点。
- 按照顺序,将一个点编上尽可能大的号码,同时,如果它的父节点没有被编号,则将其父节点编上尽可能小的号码。
接下来,我们对这个策略的正确性进行一个简要的证明。
使用数学归纳法。我们称在一个拥有 个节点的子树上,使用 区间中的整数进行编号为一次操作 。这个操作的结果合法,当且仅当所有边两端端点的编号之和不超过 。为了方便,我们称这个编号之和为这个边的“值”,并记点 的编号为 。接下来我们证明这个操作的结果合法。
对于 和 的情况,这种操作的结果必然合法。
假设 和 时, 的结果合法,不妨再令 。在此时进行操作

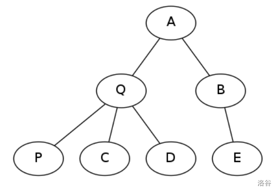
我们设要编号为 的点为 ,它的父节点为 。不妨考虑将 两点去掉,此时原图会分裂成若干个子树(对于上图,三个子树为 , 和 )。将这三个子树以任意方式连接,则是一个包含 节点的树。

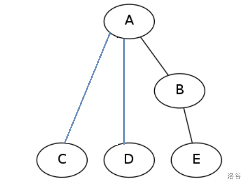
如图,我们把 去掉,并分别编上号码 和 ,然后添上两条新的边(),这样就是一棵树。对这棵树执行操作 即可。那么,剩余的几条边和蓝边都能够保证它们的值不超过 。
接下来,考虑这个过程中去掉的边(),对于 ,它的值为 ,是合法的。对于 和它的一个子节点 的连线,必然有 ,这个边的值 ,也是合法的。故此次操作的结果是合法的。
特别地,考虑 已经有编码的情况。事实上,这种情况更加简单,对于去掉点 的子树,我们可以执行操作 ,那么所有边的值都能保证 ,而新连的边值为 ,依旧合法。
故由数学归纳法,原命题成立。操作 的结果即为本题答案。
代码
这里不多加阐述,可以参考下方的代码和注释。
/** * @link https://www.luogu.com.cn/problem/P11206 */ #include <bits/stdc++.h> #define upto(i,n) for(int i=1;i<=(n);i++) int T; namespace Solution { int N; const int _N = 1e5+5; int depth[_N]; // 到根节点(1)的距离 std::vector<int> conn[_N]; // i 和 conn[i][j] 互相连接 int parent[_N]; // 记录父亲节点 int filling_queue_arr[_N]; int filled[_N]; std::queue<int> filling_queue; void init() { // 重设,防止多测数据互相污染 std::memset(depth, 0, sizeof(depth)); upto(i, _N) conn[i].clear(); std::memset(parent, 0, sizeof(parent)); std::memset(filling_queue_arr, 0, sizeof(filling_queue_arr)); std::memset(filled, 0, sizeof(filled)); scanf("%d", &N); int x=0, y=0; upto(_, N-1) { scanf("%d%d", &x, &y); conn[x].push_back(y); conn[y].push_back(x); } } void dfs_depth(int p, int prev) { // 计算深度 parent[p] = prev; depth[p] = depth[prev] + 1; for (auto &dest: conn[p]) { if (dest == prev) continue; dfs_depth(dest, p); } } bool check() { upto(i, N) { for (auto &dest: conn[i]) { if (filled[i] + filled[dest] > N+1) { return false; } } } return true; } void solve() { init(); dfs_depth(1, 0); // 以 1 为根节点 // 按照深度排序填充顺序 upto(i, N) filling_queue_arr[i] = i; std::sort(filling_queue_arr+1, filling_queue_arr+1+N, [](auto a, auto b) { return depth[a] > depth[b]; }); upto(i, N) filling_queue.push(filling_queue_arr[i]); // 压入队列 int L=1, R=N; // 区间最小值和最大值 // 依次填充 while (not filling_queue.empty()) { auto cur = filling_queue.front(); filling_queue.pop(); if (filled[cur]) continue; // 填过的就忽略 // 尝试在该点填充一个最大的数 filled[cur] = R; R--; // 在父节点填充一个最小的数 if (parent[cur] != 0 /* 特判,根节点不做处理 */ && not filled[ parent[cur] ]) { filled[ parent[cur] ] = L; L++; } } // 全部填充完毕 upto(i, N) printf("%d ", filled[i]); assert(check()); // 结果正确 printf("\n"); } } int main() { scanf("%d", &T); while (T --> 0) Solution::solve(); return 0; }这里的
check()函数事实上是无用的,不过可以方便调试。此外,还是要提醒一下,对于多测的题目,要注意完全清空所有可能用到的数组和容器。
- 1
信息
- ID
- 10845
- 时间
- 1000ms
- 内存
- 512MiB
- 难度
- 3
- 标签
- 递交数
- 0
- 已通过
- 0
- 上传者