1 条题解
-
0
自动搬运
来自洛谷,原作者为

MujicaSaki
.搬运于
2025-08-24 21:14:07,当前版本为作者最后更新于2022-08-21 13:15:00,作者可能在搬运后再次修改,您可在原文处查看最新版自动搬运只会搬运当前题目点赞数最高的题解,您可前往洛谷题解查看更多
以下是正文
拓扑排序的模板题。
拓扑排序是一个有向无环图的所有顶点的线性序列。
该序列需要满足每个顶点出现且只出现一次和如果有一条 到 的路径,在序列中 出现在 的前面。
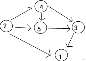
这道题目显然全部满足以上条件。如果不懂可以看下面样例的有向无环图。

拓扑排序的步骤:
-
计算每个点的入度。
-
入度为 就加入队列。
-
当队列不为空则循环:
-
取出队首元素并输出。
-
遍历队首元素的连边,对应节点的入度 。
-
当对应的节点入度为 就加入队列。
-
我们看样例的图,其中 到 的入度分别为 ,,, 和 。我们就把 号节点加入队列。队首现在不为空,所以我们取出 号节点,并且输出出来。这时候因为他没有祖先所以一定是现在辈分最大的所以输出出来。删除所有对应节点的入度之后我们会发现 号节点入度为 。所以加入队列。然后取出队首 号节点并且输出。很明显他的祖先 号节点已经没了,所以 号节点已经没有辈分比他还大的了。按照上面的步骤我们就可以完成此道题目了。
-
- 1
信息
- ID
- 7807
- 时间
- 1000ms
- 内存
- 512MiB
- 难度
- 3
- 标签
- 递交数
- 0
- 已通过
- 0
- 上传者